通知公告
通知公告
当前位置:首页  通知公告
辅修太阳成集团官方网站人工智能专业学生选拔方案
发布人:周小燕  发布时间:2022-07-07   浏览次数:2259

根据《太阳成集团官方网站本科生辅修专业管理办法》《太阳成集团官方网站计算机大类专业准入实施细则》相关要求,特制定辅修人工智能专业学生选拔方案。

辅修人工智能专业学生选拔要求:

1. 修读辅修学位须与主修学位归属不同的本科专业类,主修学位属于0807电子信息类”专业的学生不予接收。

2. 人工智能辅修专业培养方案中的课程来自于计算机类培养方案,课程交叉较多,主修学位属于“0809计算机类”(包括生物信息)专业的学生不予接收。

3. 由于修读人工智能专业先修课要求,原则上不接收文科类专业学生辅修人工智能专业课程。

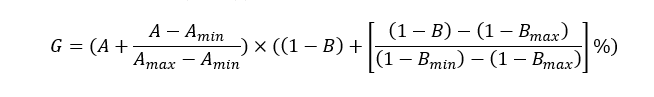
4. 符合要求的申报学生按G值由高到低排序,根据当年辅修招生名额依次确定接收人选。

G值按学生在原专业大一课程学分绩及排名计算。

按下列公式,计算学生的G值,按G值进行准入学生排名:


 

 

                                 太阳成集团官方网站

                              20227月5日